关于【实数指数幂的运算法则总结完整】,指数函数,今天小编给您分享一下,如果对您有所帮助别忘了关注本站哦。
- 内容导航:
- 1、「数学」指数函数
- 2、实数指数幂的运算法则总结完整,指数函数
1、「数学」指数函数
了解到有一些朋友基础不大好,又有想学习的心,所以这一期先写一下指数幂的运算性质和指数函数性质,有了指数函数的基础下一期才能再讲对数函数。
先从运算性质入手,运算性质还需要运用加记忆相结合。
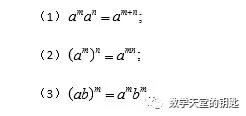
一.正整数指数幂的运算法则


把他推广到分数指数幂也成立,下面来看分数指数幂的运算法则:
二.分数指数幂的运算法则

三.指数函数性质:
指数函数是重要的基本初等函数之一。一般地,y=ax函数(a为常数且以a>0,a≠1)叫做指数函数,函数的定义域是 R (全体实数)。注意,在指数函数的定义表达式中,在ax前的系数必须是数1,自变量x必须在指数的位置上,且不能是x的其他表达式,否则,就不是指数函数。


区别:指数函数的底数a>1时,图像单调递增;底数0<a<1时,图像单调递减;
相同点:图像都位于x轴上方,即函数值都大于0(只会无限接近于0,但永远不会等于0);所有指数函数都过定点(0,1)。
2、实数指数幂的运算法则总结完整,指数函数
数学看上去枯燥无味,其实不然,掌握正确的学习方法,我们就能做到快乐学数学。学好数学大致能分为三个步骤:第一,梳理好知识点;第二,学好各种题型;第三:针对所学知识训练巩固。

现在我们来看今天要学的内容,先看下边指数与指数幂的运算的思维导图:
接着我们针对着指数与指数幂的运算的知识展开来讲,首先是知识梳理:
知识点一 根式的定义

知识点二 分数指数幂
知识点三 有理数指数幂的运算性质
知识点四 无理数指数幂

接着是题型分类:
题型一 根式的运算
题型二 根式与分数指数幂的互化
题型三 分数指数幂的运算

题型四 条件求值
最后是试题训练,并附上答案及解析:
本文关键词:实数指数幂及其运算法则视频,实数指数幂运算公式,实数指数幂的运算法则公式,实数指数幂及其运算法则公式,实数指数幂及其运算。这就是关于《实数指数幂的运算法则总结完整,指数函数》的所有内容,希望对您能有所帮助!





